党委学生工作部
首页
学校主页
关于学工
学工简介
功能职责
规章制度
通知公告
通知公告
学工动态
学工动态
院系风采
学生资助
学生资助
心理健康教育
心灵驿站
心理测试
文件下载
文件下载
三全育人
政策制度
课程育人
实践育人
文化育人
网络育人
组织育人
心理育人
管理育人
服务育人
科研育人
资助育人
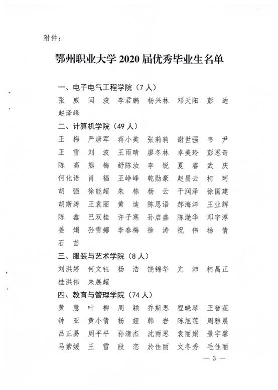
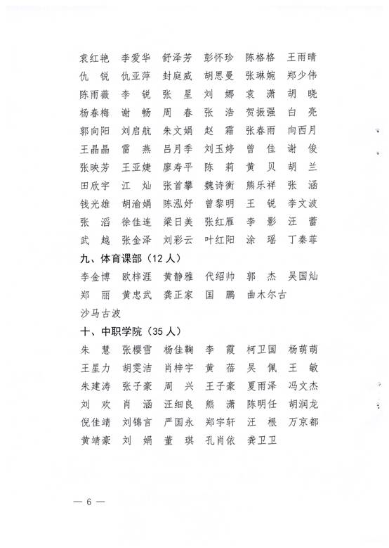
鄂州职业大学关于表彰2020届优秀毕业生的决定
发布者:系统管理员
发布时间:2020-06-03
浏览次数:
90